Here is a listing of resources and websites that I've found particularly useful. Some of these are so helpful they get visited on a daily basis. I will update this list periodically as additional websites are found for easy reference.

Where u and F are functions of time (t) or frequency (s)
Continuity Equation

Navier-Stokes Equation

Conservation of Energy (Fluid Flow)

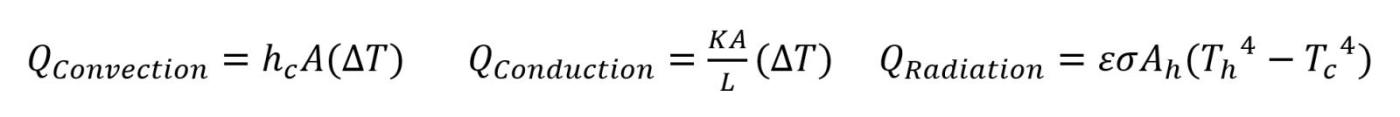
Basic Heat Transfer

- Thermal Resistance Network Matrix Inverse Solver
- Thermoelectric Cooler Calculator
- Peltier Coolers
- Laird Thermal Management
- Engineering Toolbox (Finned Heat Sink Design Guidelines)
- Estimating Parallel Plate-fin Heat Sink Thermal Resistance
- Heat Pipes for Electronics Cooling
- Heat Pipes Design Considerations
- Heat Pipe Design Guide
- Heat Pipe Calculator
- Vapor Chamber Calculator
- EMC and Thermal Design Conflicts in a PC
- Henkel Bergquist (Thermal Interface Materials)
- Birk (Heaters)
- Omega Engineering (Heaters)
- Tempco (Heaters)
- Boyd Corporation (Heat Sinks)
- Celsia (Heat Sinks)
- Wakefield-Vette (Heat Sinks)
- HeatSinkUSA
- Alexandria Industries (Heat Sinks)
- Advanced Thermal Solutions (Heat Sinks)
- Mil Standards Quick Search (DLA)
- IHS Standards
- IEEE GlobalSpec
- American Society of Mechanical Engineers (ASME)
- American National Standards Institute (ANSI)
- American Society of Testing & Materials (ASTM)
- International Organization for Standardization (ISO)
- Society of Manufacturing Engineers (SME)
- Code of Federal Regulations (CFR)
- Mil Spec and NAS
- ANSI (English)
- ISO (Metric)
- PEM Fasteners
- RAF Hardware
- Keystone Electronics Corp
- Globe Electronic Hardware
- Unicorp
- Lyn-Tron, Inc
- E&T Fasteners (PEEK)
- Metric Bolts - Minimum Ultimate Tensile and Proof Loads
- US Bolts - Minimum Ultimate Tensile and Proof Loads
- Rivet Application Tables and Installation Practice (MIL-R-47196)
- Rivet King
- QuickParts (Machined / CNC / 3D Printing)
- JEMCO (Machined / Sheetmetal Fabrication)
- SendCutSend (Sheetmetal Fabrication)
- JIT Manufacturing (Machining / CNC / Sheetmetal Fabrication)
- Reliance Manufacturing Corp (Metal Fabrication, Sheetmetal, Waterjet, Lasercut)
I've been asked several times now about some of the reference books that I use on a regular basis, so I thought it might be useful to post a listing for future reference.
For those considering a career path in Mechanical Design, Analysis and Test for Electronics Systems development in the broad range of fields including avionics, aerospace, alternative energy, commercial electronics, communications, industrial electronics, medical devices, network systems and transportation - as well as good references for Systems and Electrical engineering types that desire to broaden their understanding (particularly the Thermal Management and Product Reliability references).
I have found these to be an excellent core reference set (by topic):
Design
- “Electronic Packaging and Interconnect Handbook” by Charles A. Harper • ISBN-13: 978-0071430487
- “Advanced Electronic Packaging” by Richard K. Ulrich • ISBN-13: 978-0471466093
- "Composites Design" by Stephen W. Tsai, 4th Edition • ISBN-13: 978-0961809027
Statics and Dynamic Loading
- “Roark’s Formulas for Stress & Strain” by Warren C. Young • ISBN-13: 978-0071742474
- “Theory of Elastic Stability” by Stephen Timoshenko • ISBN-13: 978-0070647206
- “Vibration Analysis for Electronic Equipment” by Dave S. Steinberg • ISBN-13: 978-0471376859
Thermal Management
- “Cooling Techniques for Electronic Equipment” by Dave S. Steinberg • ISBN-13: 978-0471524519
- “Hot Air Rises and Heat Sinks” by Tony Kordyban • ISBN-13: 978-0791800744
- “More Hot Air” by Tony Kordyban • ISBN-13: 978-0791802236
- "Conduction of Heat in Solids" by H.S Carslaw, J.C. Jaeger • ISBN-13: 978-0198533689
Product Reliability
- “Reliability and Failure of Electronic Materials and Devices” by Milton Ohring • ISBN-13: 978-0120885749
- “Preventing Thermal Cycling and Vibration Failures in Electronic Equipment” by Dave S. Steinberg • ISBN-13: 978-0471357292
Electromagnetics (EMI/EMC)
- "Antenna Theory, Analysis and Design" by Constantine A. Balanis • ISBN-13: 978-0471592686
- "Field and Wave Electromagnetics" by David K. Cheng • ISBN-13: 978-0201128192
- "Computational Electromagnetics for RF and Microwave Engineering" by David B. Davidson • ISBN-13: 978-0521518918
General Reference
- “Mark’s Standard Handbook for Mechanical Engineers” by Eugene A. Avallone • ISBN-13: 978-0071428675